高光譜成像+深度學習:紅棗干燥過程質量的“可視化”新路徑

紅棗熱風干燥,高光譜成像技術
紅棗,是我國極&具代表性的特色農產品之一。從鮮果到干制品,看似只是“脫水",實則伴隨著一系列復雜而精細的物理、化學變化:
水分遷移、糖酸濃縮、組織結構重排、顏色與質構演變……
干燥質量,幾乎決定了紅棗最終的商品價值。
然而,在實際生產中,紅棗干燥過程的質量控制長期面臨一個現實問題:
“看不見過程,只能驗收結果。"
近日,一篇發表于 Food Chemistry的研究工作,系統展示了如何利用 高光譜成像技術(HSI)結合深度學習模型,對紅棗熱風干燥全過程進行無損、定量、可視化的質量監測,為智能干燥與過程控制提供了全新思路。

質量困局,干燥過程
在紅棗干燥過程中,行業普遍關注以下關鍵質量參數:
水分含量(Moisture):關系到安全性與儲藏穩定性
可溶性固形物(SSC):直接決定甜度與風味
可滴定酸(TA):影響酸甜平衡
硬度(Hardness):決定口感與咀嚼性
這些參數并非獨立變化,而是相互耦合、動態演化:
水分下降 → SSC 與 TA 濃縮
脫水過快 → 表面硬化、內部遷移受阻
溫度不當 → 顏色變暗、組織結構破壞
傳統檢測方法(烘干法、滴定、質構分析等)雖然準確,但普遍存在:
破壞性強,無法在線應用
檢測周期長,難以實時反饋
只能獲得平均值,缺乏空間信息
這使得干燥工藝在很大程度上仍依賴經驗,而非數據驅動。

高光譜成像,一次掃描,多維信息
為解決上述問題,研究團隊引入了 可見—近紅外高光譜成像技術(400–1000 nm)。
與傳統成像或單點光譜不同,高光譜的核心優勢在于:
每個像素都包含完整連續光譜
同時具備空間分布信息 + 成分響應信息
對水分、糖類、有機酸等化學鍵高度敏感
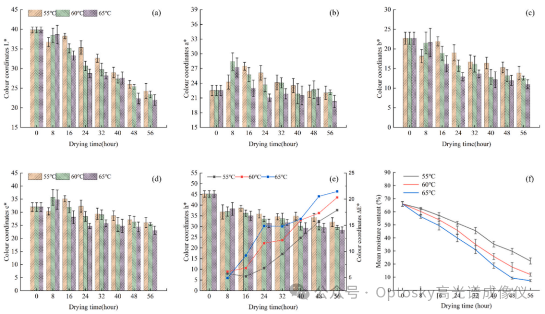
在實驗中,研究人員對紅棗在 55℃、60℃、65℃ 三種熱風干燥條件下,持續 0–56 h 進行高光譜采集,并同步測定理化指標作為參考。
光譜層面的關鍵發現包括:
在 930–1000 nm 波段,反射率隨水分降低顯著升高
不同干燥階段,光譜曲線呈現清晰的階段性演化
光譜變化與水分、SSC、TA 具有良好的相關性
這表明,高光譜不僅能“看到表面",更能間接反映內部品質變化機制。

深度學習模型的引入,從光譜到質量
高光譜數據本身是高維、強相關、非線性的,僅靠傳統線性建模難以充分挖掘其信息潛力。

為此,研究構建并對比了多種模型:
傳統化學計量學方法:PLSR
機器學習方法:SVR
深度學習模型:CNN_BiLSTM_SE
該深度模型的結構特點在于:
CNN(卷積神經網絡)
自動提取光譜局部特征,減少人工特征選擇依賴BiLSTM(雙向長短期記憶網絡)
捕捉干燥過程中時間維度上的前后關聯SE 注意力機制
動態增強關鍵波段特征,提高模型對重要信息的敏感性

同時,研究通過 網格搜索 + 交叉驗證 對模型超參數進行優化,確保預測穩定性與泛化能力。

深度學習不僅“擬合得更好",而且更適合處理干燥過程這種動態、非線性問題。

